Reaksi metathesis merupakan reaksi pertukaran pasangan ion dari dua elektrolit. Reaksi metathesisi alkuna dikatalisis oleh kompleks logam organotransisi, reaksi jenis ini membentuk ikatan karbon rangkap tiga baru yang lebih sederhana melalui mekanisme Katz. Rekasi metathesis alkuna dikenal 4 jenis yaitu alkyne cross metatheisis (ACM), ring-cross alkyne metathesis (RCAM), ring-opening alkyne metathesis polymerazion (ROAPMP) dan acyclic diyne metathesis polymerazion (ADIMET). Dalam metathesis alkuna ada banyak jenisnya, diantaranya ring-closing alkyne metathesis (RCAM), Nitrile alkyne cross metathesis (NACM), dsb.
Reaksi metathesis yang sudah ada dan kebanyakan
digunakan adalah metathesis dari alkena. Oleh karenanya sedang dikembangkan
lebih lanjut mengenai metathesis dari alkuna terutama dari segi katalis reaksi.
Reaksi metatesis merupakan reaksi yang melibatkan
pertukaran bagian dari pereaksi (terjadi substitusi) .
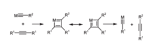
metatesis pada
alkuna salah satu contoh reaksi sintesis alkuna dengan reaksi
metatesis diatas adalah melalui pembentukan alkylidiena dimana terjadi
melalui reaksi antara metatesis alkuna dengan senyawa alkuna lainnya. Pada
reaksi terlebih dahulu terjadi penutupan cincin dengan adanya reaksi intramolekul membentuk metalsiklobutadiena yang selanjutnya dengan
adanya resonansi dari elektron pada orbital π yang kemudian membentuk
senyawa baru berupa asetilena dan alkildiena dengan adanya pertukaran
alkil antara 2 pereaksi alkuna.
|
Metatesis merupakan reaksi pertukaran ikatan antara dua jenis senyawa kimia yang bereaksi. Reaksi metatesis disebut juga reaksi pertukaran ganda.
Metatesis alkuna logam yang dikatalisasi pertama kali dijelaskan pada tahun 1968 oleh Bailey et al. Sistem Bailey menggunakan campuran tungsten dan silikon oksida pada suhu setinggi 450°C. Pada tahun 1974 Mortreux melaporkan penggunaan katalis homogen molibdenum hexacarbonyl pada 160°C untuk mengamati fenomena alikne scrambling, di mana alkil yang tidak simetris menyeimbangkan dengan dua turunan simetris.
Metatesis Alkyne banyak digunakan dalam operasi penutupan cincin dan RCAM singkatan dari cincin penutupan alkuna metatesis. Molekul molekul penciuman dapat disintesis dari di-alkyne. Setelah penutupan cincin, ikatan rangkap tiga baru direduksi secara stereoselektif dengan hidrogen dan katalis lindlar untuk memperoleh Z-alkena (E-alken siklik tersedia melalui reduksi Birch). Kekuatan pendorong yang penting untuk jenis reaksi ini adalah pengusiran molekul-molekul gas kecil seperti asetilena atau 2-butil . Contoh reaksi metatesis pada alkuna adalah :
Reaksi
metatesis
adalah
reaksi-reaksi kimia yang melibatkan pertukaran atom/ion atau gugus atom/gugus
ion dengan atom/ion atau gugus atom/gugus ion yang lain.
Reaksi metatesis alkuna
dikatalisis oleh transisi kompleks logam karbyn. Intermediet didalam reaksi ini
diperkirakan pada jenis logam siklobutadiena. Disamping itu terbentuk dari
sebuah alkuna pada logam-3 ikatan karbon dari karbyne. Variasi struktur
kompleks logam siklobutadiena telah ditentukan dan beberapa telah dibuktikan
mampu mengkatalisis metatesis alkuna.
Metatesis enuna adalah
sebuah reaksi organik yang
terjadi antara sebuah alkuna dengan alkena menggunakan kataliskarbena logam,
menghasilkan butadiena. Reaksi ini merupakan
variasi metatesis olefin.
Dikatalisis oleh kompleks logam organotransisi, jenis
reaksi dibawah ini menciptakan ikatan rangkap tiga C-C baru sangat sederhana
melalui mekanisme Katz (Skema 1) yang didasarkan pada serangkaian jenis reaksi
yang berbeda seperti alkyne cross metathesis (ACM), metanat alkalam penutupan
cincin ( RCAM), cincin-pembukaan alkyne metathesis polymerization (ROAMP)
dan acyclic diyne metathesis polymerization (ADIMET) dikenal (Skema 2).
Berbeda dengan metatesis olefin, jumlah katalis untuk
metatesis alkuna jauh lebih terbatas. Katalis pertama untuk metatesis
alkuna adalah sistem heterogen berdasarkan WO3 / silika, yang pertama kali
dilaporkan oleh Pennella, Bank dan Bailey pada tahun 1968, sedangkan
sistem homogen pertama, yang terdiri dari [Mo (CO) 6] dan resorsinol.
PERTANYAAN :
1. Bagaimana pengaruh reaksi bromosikloheksana dengan asetilida pada reaksi kedua tidak terbentuk pada gambar ?
2. Mengapa reaksi intramolekul dapat mengakibatkan cincin tertutup terlebuh dahulu?
3. Mengapa istilah metatesis sering digunakan untuk merujuk kepada metatesis olefin ?
1. Bagaimana pengaruh reaksi bromosikloheksana dengan asetilida pada reaksi kedua tidak terbentuk pada gambar ?
2. Mengapa reaksi intramolekul dapat mengakibatkan cincin tertutup terlebuh dahulu?
3. Mengapa istilah metatesis sering digunakan untuk merujuk kepada metatesis olefin ?






saya akan mencoba menjawab pertanyaan no. 1 yaitu dimana Alkilasi ion asetilida hanya terbatas pada alkil bromide primer dan alkil iodida saja. Hal ini karena anion asetilida merupakan basa kuat, sehingga jika bereaksi dengan alkil halide sekunder atau tersier justru akan mengalami reaksi dehidrohalogenasi dari pada reaksi substitusi.
BalasHapusSaya akan mencoba menjawab permasalahan Anda yang ketiga:
BalasHapusAlkyne metathesis adalah reaksi organik yang melibatkan redistribusi ikatan kimia alkuna. Reaksi ini terkait erat dengan metatesis olefin.
Metatesis olefin oleh alkuna ini melibatkan pendistribusian ulang ikatan-ikatan olefin (alkana). Proses ini memungkinkan ikatan ganda dipecah dan bisa dibuat antara atom-atom karbon dalam cara yang akan membuat gugus atom bertukar tempat,
Saya akan mencoba menjawab permasalahan anda yg ke-3 Metatesis olefin atau transalkilidenasi adalah sebuah reaksi organik yang melibatkan pendistribusian ulang ikatan-ikatan olefin (alkana).
BalasHapusProses ini memungkinkan ikatan ganda dipecah dan bisa dibuat antara atom-atom karbon dalam cara yang akan membuat gugus atom bertukar tempat, ibaratnya pasangan yang bertukar rekan sewaktu sedang menari. Proses kimia ini berlangsung dengan bantuan molekul katalis khusus.
Sejak penemuannya, metatesis olefin telah memperoleh pemakaian yang luas dalam industri kimia, terutama dalam memproduksi barang-barang farmasi dan plastik yang canggih.
Pada tahun 2005, tiga orang yang berperan besar dalam penemuannya, Yves Chauvin, Robert H. Grubbs, dan Richard R. Schrock menerima Penghargaan Nobel dalam Kimia 2005 "untuk pengembangan metode metatesis dalam sintesis organik".
Saya akan menjawab yang nomor 3.
BalasHapusMetatesis olefin atau transalkilidenasi adalah sebuah reaksi organik yang melibatkan pendistribusian ulang ikatan-ikatan olefin (alkana).
Proses ini memungkinkan ikatan ganda dipecah dan bisa dibuat antara atom-atom karbon dalam cara yang akan membuat gugus atom bertukar tempat, ibaratnya pasangan yang bertukar rekan sewaktu sedang menari. Proses kimia ini berlangsung dengan bantuan molekul katalis khusus.
Saya akan menjawab pertanyaan no 3 Proses kimia ini berlangsung dengan bantuan molekul katalis khusus.
BalasHapusSejak penemuannya, metatesis olefin telah memperoleh pemakaian yang luas dalam industri kimia, terutama dalam memproduksi barang-barang farmasi dan plastik yang canggih.
Pada tahun 2005, tiga orang yang berperan besar dalam penemuannya, Yves Chauvin, Robert H. Grubbs, dan Richard R. Schrock menerima Penghargaan Nobel dalam Kimia 2005 "untuk pengembangan metode metatesis dalam sintesis organik".
Saya akan mencoba menjawab permasalahan Anda yang ketiga:
BalasHapusAlkyne metathesis adalah reaksi organik yang melibatkan redistribusi ikatan kimia alkuna. Reaksi ini terkait erat dengan metatesis olefin.
Metatesis olefin oleh alkuna ini melibatkan pendistribusian ulang ikatan-ikatan olefin (alkana). Proses ini memungkinkan ikatan ganda dipecah dan bisa dibuat antara atom-atom karbon dalam cara yang akan membuat gugus atom bertukar tempat,
saya akan mencoba menjawab pertanyaan no. 1 yaitu dimana Alkilasi ion asetilida hanya terbatas pada alkil bromide primer dan alkil iodida saja. Hal ini karena anion asetilida merupakan basa kuat, sehingga jika bereaksi dengan alkil halide sekunder atau tersier justru akan mengalami reaksi dehidrohalogenasi dari pada reaksi substitusi.
BalasHapusSaya akan menjawab yang nomor 3.
BalasHapusMetatesis olefin atau transalkilidenasi adalah sebuah reaksi organik yang melibatkan pendistribusian ulang ikatan-ikatan olefin (alkana).
Proses ini memungkinkan ikatan ganda dipecah dan bisa dibuat antara atom-atom karbon dalam cara yang akan membuat gugus atom bertukar tempat, ibaratnya pasangan yang bertukar rekan sewaktu sedang menari. Proses kimia ini berlangsung dengan bantuan molekul katalis khusus.
Saya akan mencoba menjawab permasalahan Anda yang ketiga:
BalasHapusAlkyne metathesis adalah reaksi organik yang melibatkan redistribusi ikatan kimia alkuna. Reaksi ini terkait erat dengan metatesis olefin.
Metatesis olefin oleh alkuna ini melibatkan pendistribusian ulang ikatan-ikatan olefin (alkana). Proses ini memungkinkan ikatan ganda dipecah dan bisa dibuat antara atom-atom karbon dalam cara yang akan membuat gugus atom bertukar tempat,
Alkyne metathesis adalah reaksi organik yang melibatkan redistribusi ikatan kimia alkuna. Reaksi ini terkait erat dengan metatesis olefin.
BalasHapusMetatesis olefin oleh alkuna ini melibatkan pendistribusian ulang ikatan-ikatan olefin (alkana). Proses ini memungkinkan ikatan ganda dipecah dan bisa dibuat antara atom-atom karbon dalam cara yang akan membuat gugus atom bertukar tempat
Saya akan mencoba menjawab permasalahan Anda yang ketiga:
BalasHapusAlkyne metathesis adalah reaksi organik yang melibatkan redistribusi ikatan kimia alkuna. Reaksi ini terkait erat dengan metatesis olefin.
Metatesis olefin oleh alkuna ini melibatkan pendistribusian ulang ikatan-ikatan olefin (alkana). Proses ini memungkinkan ikatan ganda dipecah dan bisa dibuat antara atom-atom karbon dalam cara yang akan membuat gugus atom bertukar tempat,
Saya akan menjawab yang nomor 3.
BalasHapusMetatesis olefin atau transalkilidenasi adalah sebuah reaksi organik yang melibatkan pendistribusian ulang ikatan-ikatan olefin (alkana).
Proses ini memungkinkan ikatan ganda dipecah dan bisa dibuat antara atom-atom karbon dalam cara yang akan membuat gugus atom bertukar tempat, ibaratnya pasangan yang bertukar rekan sewaktu sedang menari. Proses kimia ini berlangsung dengan bantuan molekul katalis khusus.
Saya akan mencoba menjawab permasalahan Anda yang ketiga:
BalasHapusAlkyne metathesis adalah reaksi organik yang melibatkan redistribusi ikatan kimia alkuna. Reaksi ini terkait erat dengan metatesis olefin.
Metatesis olefin oleh alkuna ini melibatkan pendistribusian ulang ikatan-ikatan olefin (alkana). Proses ini memungkinkan ikatan ganda dipecah dan bisa dibuat antara atom-atom karbon dalam cara yang akan membuat gugus atom bertukar tempat,
Proses kimia ini berlangsung dengan bantuan molekul katalis khusus.
BalasHapusSejak penemuannya, metatesis olefin telah memperoleh pemakaian yang luas dalam industri kimia, terutama dalam memproduksi barang-barang farmasi dan plastik yang canggih.
Pada tahun 2005, tiga orang yang berperan besar dalam penemuannya, Yves Chauvin, Robert H. Grubbs, dan Richard R. Schrock menerima Penghargaan Nobel dalam Kimia 2005 "untuk pengembangan metode metatesis dalam sintesis organik".
Alkyne metathesis adalah reaksi organik yang melibatkan redistribusi ikatan kimia alkuna. Reaksi ini terkait erat dengan metatesis olefin.
BalasHapusMetatesis olefin oleh alkuna ini melibatkan pendistribusian ulang ikatan-ikatan olefin (alkana). Proses ini memungkinkan ikatan ganda dipecah dan bisa dibuat antara atom-atom karbon dalam cara yang akan membuat gugus atom bertukar tempat
Alkyne metathesis adalah reaksi organik yang melibatkan redistribusi ikatan kimia alkuna. Reaksi ini terkait erat dengan metatesis olefin.
BalasHapusMetatesis olefin oleh alkuna ini melibatkan pendistribusian ulang ikatan-ikatan olefin (alkana). Proses ini memungkinkan ikatan ganda dipecah dan bisa dibuat antara atom-atom karbon dalam cara yang akan membuat gugus atom bertukar tempat